滚子链链轮的结构设计
1.链轮的齿形
链轮齿形必须保证链节能平稳自如地进入和退出啮合,尽量减少啮合时的链节的冲击和接触应力,而且要易于加工。
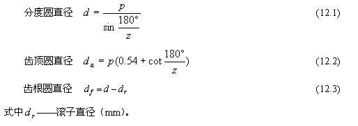
常用的链轮端面齿形见图6。它是由三段圆弧aa、ab、cd和一段直线bc构成,简称三圆弧-直线齿形。齿形用标准刀具加工,在链轮工作图上不必绘制端面齿形,只需在图上注明齿形按3RGB1244-85规定制造即可,但应绘制链轮的轴面齿形,见图7,其尺寸参阅有关设计手册。工作图中应注明节距p、齿数z、分度圆直径d(链轮上链的各滚子中心所在的圆)、齿顶圆直径da、齿根圆直径df。其计算公式为



2.链轮结构
图8为几种常用的链轮结构。小直径链轮一般做成整体式(图6.8a),中等直径链轮多做成辐板式,为便于搬运、装卡和减重,在辐板上开孔(图6.8b),大直径链轮可做成组合式(图6.8c,d),此时齿圈与轮芯可用不同材料制造。

3.链轮材料
链轮材料应保证轮齿有足够的强度和耐磨性,故链轮齿面一般都经过热处理,使之达到一定硬度。常用材料见表2。

消息,Bitget 推出新一期 CandyBomb 活动,合约新用户在 1 月 29 日至 2 月 5 日期间交易可瓜分 11...
2 Ink 生态 DEX Nado 将于 23:00 分发 Nado NFT消息,Kraken 在 Ink 上推出的 DEX Nado 宣布 Nado NFT 系列将于 1 月 29 日 23:00 在 Ink 上铸造并分发给...
3 Gate合约股票专区将上线MSFT(微软)、I消息,据官方公告,Gate 合约股票专区将于 1 月 29 日 19:00 上线 MSFT、IBM、INTC、MCD、CSCO、ASML、...
4 美元走软并未刺激比特币上涨,摩根大通近期美元走软并未如预期引发比特币上涨行情。摩根大通策略师指出,美元10%的年跌幅是由短...
5 鲍威尔言论引市场关注消息,据CNBC发推称:投资者预期美联储将维持利率不变,但鲍威尔的言论引起了市场的关注。...
6 聪明钱建仓4000枚ETH浮亏14.1万美元消息,据Ai 姨发推称:聪明钱地址 0x3c98f757 过去 24 小时内以均价 2994.26 美元从 Kraken 提币,累...
7 昨日美国以太坊现货ETF净流入2810万美元消息,1 月 29 日,据 Farside 监测,昨日美国以太坊现货 ETF 净流入 2810 万美元,其中贝莱德 E...
8 Bybit 将支持 XDC (XDC) v2.6.8 网络升级为支持 XDC 网络 v2.6.8 版本升级,Bybit 将于 2026 年 1 月 30 日上午 11:30 起暂停 XDC 的充值和提现功...
9 若比特币突破9.1万美元,主流CEX累计空单消息,1 月 29 日,据 Coinglass 数据,若比特币回升突破 9.1 万美元,主流 CEX 累计空单清算强度...
10 美国证券交易委员会澄清代币化股票规则美国证券交易委员会发布新指南,指出由第三方在发行人未参与的情况下创建的代币化股票属...
成都来彰科技 蜀ICP备2025134723号-1
资讯来源互联网,如有版权问题请联系管理员删除。